QUALITY ASSURANCE × SGS TAIWAN
威納力 舒敏益生菌粉包|SGS 第三方檢驗報告
本頁公開威納力 舒敏益生菌粉包之完整檢測數據,提供透明資訊供查閱。
🔍 檢驗批號 製造日期:2026/03/05 有效日期:2029/03/05
送驗產品資訊 (點擊放大)
送驗產品照片 (點擊放大)
一、 重金屬檢測報告

P1

P2

P3

P4
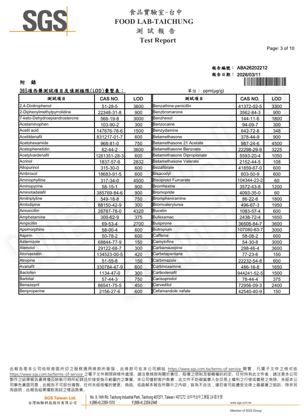
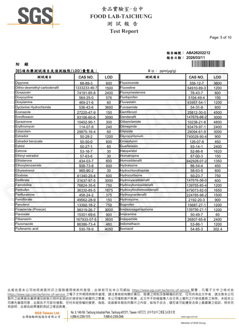
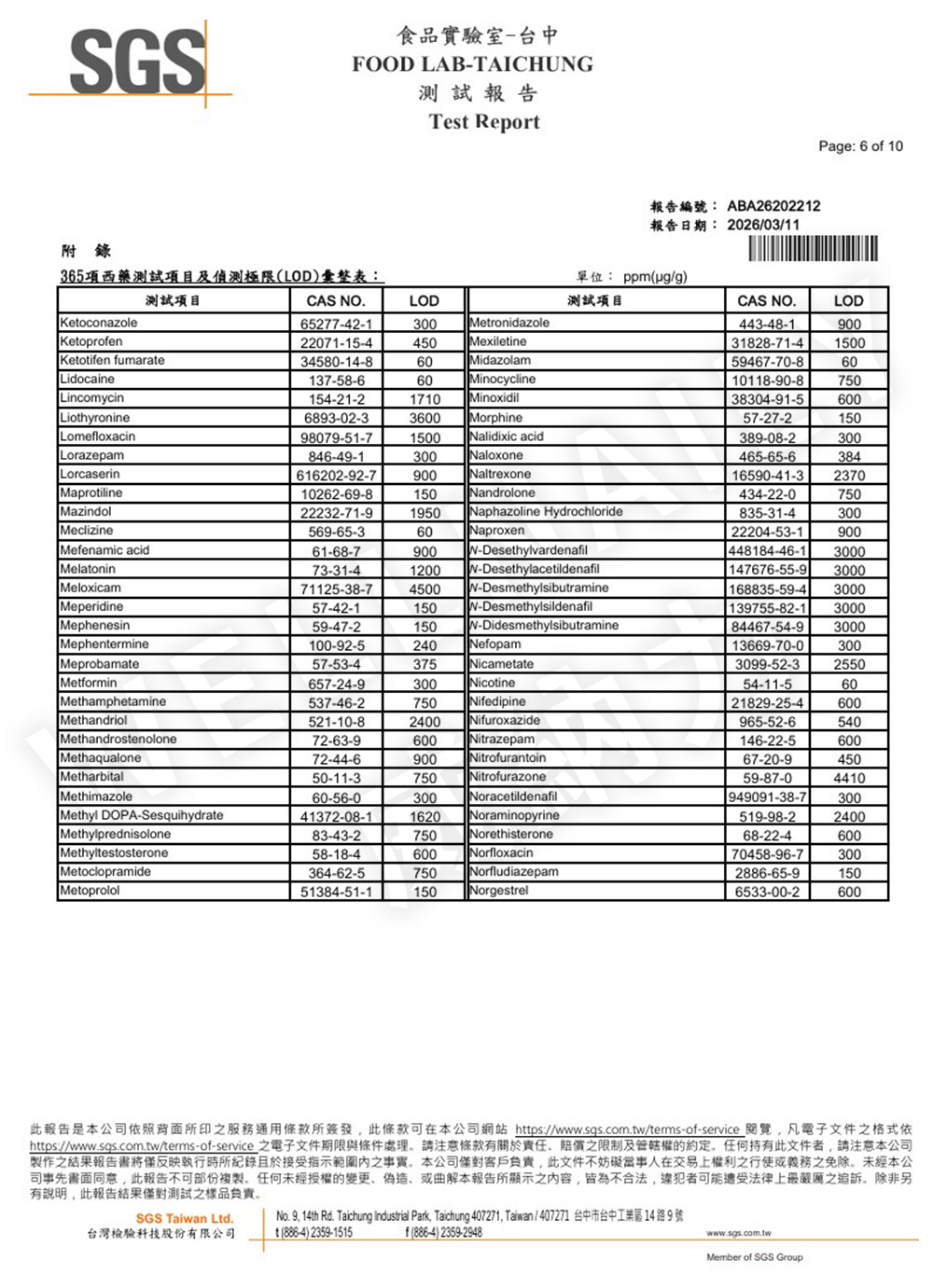
二、 365項西藥檢測報告

P1

P2

P3

P4

P5

P6

P7

P8

P9

P10
三、 微生物檢測報告

P1

P2

P3

P4
💡 檢驗報告僅對送測樣品負責,不代表功效宣稱。實際資訊請以包裝標示為準。